手性是自然界的基本属性,许多重要的生物分子,包括氨基酸,核苷酸和糖类在本质上都是手性的。对映体是一对手性相反的异构体,尽管二者具有相同的化学组成和相似的理化性质,但在药理,代谢和毒性方面通常表现出巨大差异。去甲肾上腺素和肾上腺素是重要的神经递质和激素,在血管收缩,血压控制和神经冲动的传递中发挥重要作用。同时,二者也是用于心脏骤停和过敏反应的急救药物。然而,去甲肾上腺素和肾上腺素在分子结构上都具有一个手性中心,因此各自具有两种不同药效作用的对映体。其中L型对映体的生物活性是D型的100倍,并且可以通过外消旋化作用自发地转化为D型,导致其治疗效果逐渐丧失,给药物存储带来挑战。在L-去甲肾上腺素或肾上腺素的生产制备中,D型通常作为影响合成效率和产品质量的杂质。因此,为了药品生产和存储过程中的质量控制,十分有必要开发一种去甲肾上腺素和肾上腺素的快速对映体鉴定方法。
生物纳米孔具有手性的内腔环境和较高的传感分辨率,当目标分子被瞬态捕获时,原则上生物纳米孔可以区分对映体。然而,由于针对生物纳米孔化学工程改造的复杂性,很少有生物纳米孔直接识别对映体的研究工作被报道。可编程纳米孔反应器技术(Programmable Nano-Reactors for Stochastic Sensing,PNRSS)是近年来由我室黄硕教授课题组原创开发的一种用于研究单分子反应的通用策略。该策略将合成的功能化核酸链引入纳米孔内腔中,从而大大简化了针对孔道的复杂工程化改造。

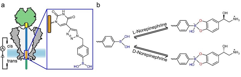
图1.可编程纳米孔鉴定去甲肾上腺素对映体的概念演示
在此基础上,黄硕教授课题组近日在ACS Nano上报道了一种利用可编程纳米孔实现去甲肾上腺素和肾上腺素手性单分子鉴定的技术(图1)。通过PNRSS技术将苯硼酸作为去甲肾上腺素和肾上腺素对映体分子的识别元件,引入MspA纳米孔中,成功实现了L-去甲肾上腺素,D-去甲肾上腺素,L-肾上腺素和D-肾上腺素的单分子鉴定。

图2.机器学习辅助儿茶酚胺对映体的鉴定
在机器学习算法的辅助下,四种儿茶酚胺分子的识别准确率达到了98.2%,可以自动识别混合传感中的事件(图2)。利用该技术还可以快速获得对映体过量值(enantiomeric excess,ee),用来表征对映体混合物中的对映体纯度。通过对商品化的盐酸肾上腺素注射液进行直接检测,获得相应的对映体过量值,验证了该策略用于儿茶酚胺对映体药物质量控制的可行性。
该工作以“Identification of single molecule catecholamine enantiomers using a programmable nanopore”为题,于2022年4月9日发表于《ACS nano》(文章链接:https://pubs.acs.org/doi/full/10.1021/acsnano.2c01017,DOI: 10.1021/acsnano.2c01017)。我室博士生贾文东为该论文第一作者,黄硕教授为论文通讯作者,陈洪渊院士对该工作做出了重要指导。南京大学化学化工学院马晶教授,朱强博士和博士生顾玉明在机理阐述方面提出了宝贵的意见。此项研究得到了生命分析化学国家重点实验室以及南京大学化学和生物医药创新研究院(ChemBIC)的重要支持。国家自然科学基金(项目编号:31972917,91753108,21675083,22033004)、中央高校基本科研业务费资助(项目编号:020514380257,020514380261)、江苏省高层次创业创新人才引进计划(个人、团体计划)、江苏省自然科学基金(项目编号:BK20200009)、南京大学卓越计划(项目编号:ZYJH004)、上海市市级科技重大专项、南京大学生命分析化学国家重点实验室自主研究项目(项目编号:5431ZZXM1902)、南京大学科技创新基金资助项目、中国博士后科学基金(项目编号:2021M691508)等经费支持。
